Let me start with a question that's been bugging me lately:
Would you let an AI agent continuously stream your entire screen — emails, Slack DMs, browser tabs, documents — to a remote server?
If you hesitated, you've already identified the core tension in the AI Agent space right now.
Two Paths, One Goal
In 2026, the AI Agent world has split into two distinct camps.
Camp Cloud says: Throw the biggest models at the problem. 100B+ parameters, GPU clusters, infinite context windows. The raw intelligence approach.
Camp On-Device says: Run the model locally. Your data never leaves your machine. Trade some model size for privacy, speed, and zero marginal cost.
Both camps want the same thing — an AI that can actually use your computer for you. Open apps, fill forms, click buttons, extract data, automate workflows. The disagreement is about where the brain should live.
The Cloud Problem Nobody Talks About
Cloud-based GUI agents work like this: screenshot your screen → upload to cloud → model processes → send back instructions → repeat.
For a simple demo, this is fine. For daily use? Let's talk about the three elephants in the room.
1. Privacy Is Not a Feature — It's a Prerequisite
GUI agents need to see your screen. Everything on it. Your email drafts, your Slack conversations, your financial spreadsheets, your browser history. All of it gets uploaded to someone else's server for processing.
For individual developers? Maybe you're okay with that. For enterprise deployments? Compliance teams will shut this down before you finish the proposal deck.
2. Latency Compounds
A single cloud roundtrip might take 500ms. Sounds fast. But agents aren't single-shot — they're multi-step. A 10-step task means 10 roundtrips, and suddenly you're looking at 5+ seconds of cumulative network delay on top of inference time. That's the difference between "this feels instant" and "I could've done this faster myself."
3. Cost Scales Linearly (Your Patience Doesn't)
Vision model inference isn't cheap, especially with high-resolution screenshots. Every step costs tokens. Every retry costs tokens. Every mistake-and-recover costs tokens. Developers who prototyped with cloud APIs and then tried to run agents continuously were often surprised by the monthly bill.
The On-Device Bet
The on-device approach flips these trade-offs:
- Privacy: Your screen data never leaves your machine. Period.
- Latency: Local inference, no network roundtrip.
- Cost: One-time setup, zero marginal cost per operation.
The catch? You need to fit a capable model into consumer hardware. And that's where things get technically interesting.
How Do You Fit an Agent Into a Laptop?
Three key techniques make on-device agents viable in 2026:
Quantization (W4A16)
Compress model weights from FP16 to 4-bit integers while keeping activations at FP16 precision. This cuts model size to roughly 1/4 while preserving most of the model's capability.
Real-world numbers on a 4B quantized model running on Apple M4 + 32GB RAM:
| Metric | Value |
|---|---|
| Prefill speed | 476 tok/s |
| Decode speed | 76 tok/s |
| Peak memory | 4.3 GB |
Let that sink in. 4.3GB peak memory means your agent runs alongside your normal apps without breaking a sweat. 76 tok/s decode means action instructions are generated faster than you can read them.
Visual Token Pruning (GSPruning)
GUI screenshots are full of visual redundancy — blank areas, solid backgrounds, decorative elements. GSPruning identifies and removes low-information visual tokens before they hit the language model. The result: 30-50% fewer tokens to process, with minimal impact on task accuracy.
Pure Vision (No DOM, No API)
This is a deliberate architectural choice. Instead of parsing DOM trees or hooking into application APIs, on-device agents understand the screen purely through vision — the same way a human would.
Why? Because DOM parsing only works for web apps. Desktop applications, system dialogs, proprietary software — none of these expose DOM trees. A pure-vision agent can work with any interface a human can see and interact with.
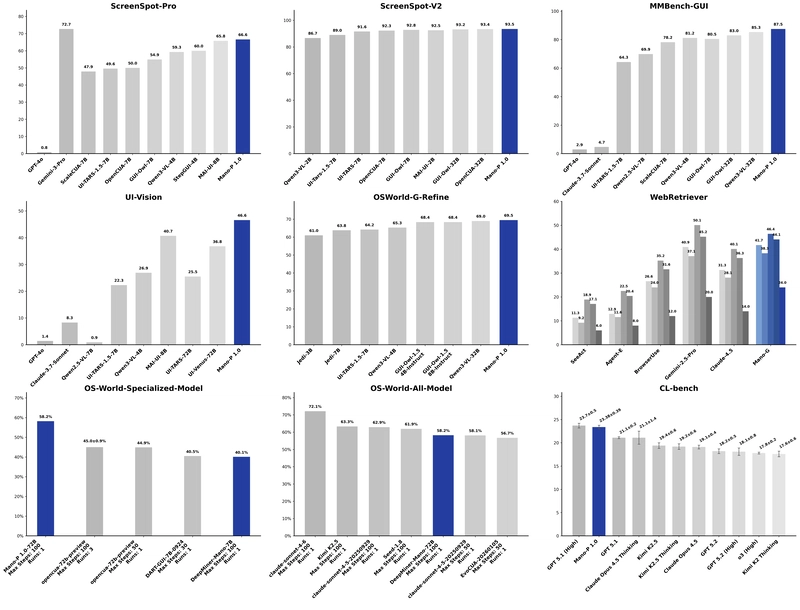
"But Can Small Models Actually Do This?"
Fair question. Here's what the benchmarks say.
OSWorld
| Approach | Score |
|---|---|
| 72B model (pure vision) | 58.2% |
| Runner-up | 45.0% |
That's a 13.2 percentage point gap on one of the most rigorous GUI agent benchmarks available.
WebRetriever
| Model | Score |
|---|---|
| 72B model | 41.7 |
| Gemini | 40.9 |
| Claude | 31.3 |
Now, to be clear: the 72B model isn't what you'd run on your laptop. The deployment path is: 72B validates the architecture → knowledge distillation transfers capability to a 4B model → quantization makes the 4B model run on consumer hardware.
The 72B benchmarks prove the ceiling. The 4B quantized model is what you actually use.
The Trade-Off Matrix
Let me lay it out honestly:
| Cloud Agent | On-Device Agent | |
|---|---|---|
| Raw capability | Higher (bigger models) | Lower (but closing the gap) |
| Privacy | Your data on their servers | Your data stays local |
| Latency | Network-dependent | Near-instant |
| Cost per use | Pay per token | Zero after setup |
| Offline support | No | Yes |
| Cross-app support | Varies (DOM/API dependent) | Any visible interface (pure vision) |
| Hardware requirement | Any device with internet | M4 + 32GB or equivalent |
| Setup complexity | API key | Local model deployment |
Neither column is strictly better. It depends on what you're optimizing for.
An Open-Source Reference: Mano-P
We've been working on this problem at our team, and we open-sourced our on-device agent implementation as Mano-P under the Apache 2.0 license.
Key technical choices:
- Pure vision approach (no DOM/API dependency)
- W4A16 quantization for edge deployment
- GSPruning for visual token efficiency
- SFT + RL training pipeline
- Native Apple Silicon support
We chose Apache 2.0 because we believe this space needs open collaboration. Restrictive licenses would only slow things down.
GitHub: https://github.com/Mininglamp-AI/Mano-P
What I Think (And Where I Might Be Wrong)
My current mental model: the future isn't purely cloud or purely on-device. It's a hybrid.
On-device handles the privacy-sensitive stuff — screen understanding, action execution, anything involving your personal data. Cloud provides optional capability boosts — complex multi-step reasoning, large-scale knowledge retrieval, tasks that genuinely need 100B+ parameters.
But I might be wrong. Maybe cloud providers will solve the privacy problem with confidential computing. Maybe on-device models will get good enough that cloud augmentation becomes unnecessary. Maybe a third path emerges that we haven't thought of yet.
The Discussion Part
I'm genuinely curious about how other developers and teams are thinking about this. A few questions I'd love to hear perspectives on:
1. Where's your privacy line? Would you use a cloud-based GUI agent for work? Personal use? Both? Neither?
2. Is the performance gap closing fast enough? 4B quantized models are usable today, but they're not as capable as cloud giants. Do you think the gap will close in 12 months? 24? Never?
3. What's your hardware reality? The benchmarks above use M4 + 32GB. That's not a budget machine. Is the hardware bar too high for on-device to go mainstream?
4. Pure vision vs DOM/API — which bet would you make? Pure vision is more general but harder. DOM/API is more reliable but limited in scope. Where do you land?
5. Does the license matter? Apache 2.0 vs GPL vs proprietary — does the licensing model affect whether you'd actually adopt an on-device agent?
Drop your thoughts in the comments. I'll be reading every one.
Disclosure: I work on the Mano-P project at Mininglamp Technology. All benchmark data cited is from public evaluations. This post represents our team's perspective, not an objective industry assessment.


Top comments (0)